作者:Zachariah Peterson
專業電路設計人員在設計電路時不僅僅使用并聯和串聯的元件。構建電路的一種方法是使用具有輸入和輸出端口的電路網絡。可以通過傳統方式(SPICE、手動等)分析每個網絡內部發生的情況,但重要的是網絡將輸入電壓/電流對映射到輸出電壓/電流對。在數學上,這可以用傳遞函數進行量化。
在進行高可靠性設計時,需要了解的一個重要因素是系統某一部分的方差如何傳播到系統的輸出。但這個因素有時并不直觀。它需要手動進行一些數學推導,或者需要一些仿真來確定系統中電氣行為的變化和波動。
在本文中,我將展示如何使用蒙特卡羅仿真數據來檢查元件容差如何影響級聯電路網絡的電氣行為。數學涉及幾個常見的概率論要點,但最終結果和所涉及的過程可以很容易在SPICE和Excel中實現。
01理論:級聯網絡中的方差
接下來我要介紹一個理論,目的是推導出表達式,該表達式將級聯網絡的輸出電壓變化定義為每個網絡中各個傳遞函數的變化。盡管還有溫度或隨機噪聲等情況,我們假定網絡傳遞函數的變異僅由元件容差造成。
首先,讓我們來看下面所示的級聯網絡。在這個網絡,我們考慮的方案中每個網絡有2個端口(輸入和輸出)。擴展到3個端口稍顯復雜,但如果其他端口只是固定的功率輸入,我們仍然可以使用此處所示的理論。級聯中每個網絡都有一個傳遞函數H。

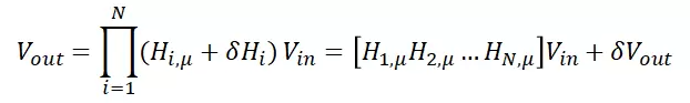
網絡輸入和輸出之間的關系如方程式(1)所示。在這個方程式中,整個網絡的傳遞函數是每個網絡傳遞函數的乘積:

方程式(1):級聯網絡傳遞函數定義。
在方程式(1)中,我們的事實依據是,如上所示的串聯級聯網絡的總傳遞函數是所有單個傳遞函數的乘積。這個方程適用于構建為二端口網絡的各種電路。現在,我們可以檢查給定元件容差值的傳遞函數中的統計變化。
02轉移函數的變量
每個網絡中的元件容差將在每個網絡中的傳遞函數中產生一些變化。我們現在要定義傳遞函數中的方差。

方程式(2):每個網絡的傳遞函數定義為常數部分(平均值)和隨機部分(標準差)。
在方程式(2)中,Hi是一個隨機變量,它與網絡i(?Hi)傳遞函數的隨機變化有關。為了使該表達式為真,分布?Hi必須允許這種類型的線性轉換。一般來說,高斯分布和均勻分布都是如此,因此這在蒙特卡羅仿真中經常考慮的兩種主要情況下都是有效的。
我們沒有將?Hi與具有特定等式的元件公差聯系起來。但是,如果您知道電路網絡中所有元件的公差,則可以使用蒙特卡羅仿真來確定?Hi。只需為單個網絡 Hi 進行仿真,然后運行蒙特卡羅仿真以確定傳遞函數 ?Hi 的方差。
03輸出電壓的變量
現在我們已經定義了單個傳遞函數的隨機變量,我們可以通過將公式(2)中所示的相同線性變換應用到公式(1)中的傳遞函數的乘積來定義輸出電壓的變量。我將其寫成公式(3):

公式(3): 輸出電壓的變量。
這里,輸出電壓也有常數部分(平均值)和隨機部分(標準差)。換句話說,現在電壓是一個與隨機變量乘積相關的隨機變量。平均輸出電壓是右側的常數項:

方程式(4):根據組成級聯網絡的傳遞函數平均值表示的平均輸出電壓。
由此可知,傳遞函數的乘積是整個網絡傳遞函數的平均值:

方程式(5):整個級聯網絡的傳遞函數平均值以級聯中各個網絡的平均傳遞函數值表示。
如果我們展開方程式(3)中的乘積,將得到一個包含多個?Hi 項、Hmean 和輸出電壓方差的乘積的表達式。在這里,我們將采取近似值,因為任意?Hi項的乘積非常小,可以忽略不計。考慮到常見的元件公差,這是完全可以接受的,即使它們高達 20%。這里我就省略中間步驟,留給讀者自行運算,最終可以得到以下方程式:

方程式(6):以傳遞函數均值和隨機變化表示的輸出電壓。
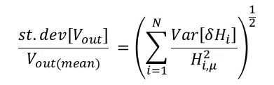
這看起來不像最終答案,但是方程式(6)確實告訴您在傳遞函數存在一些差異的情況下,您需要了解有關輸出電壓隨機行為的所有信息!在這里,我們根據隨機變量的線性組合(?Hi 項集)定義了一個隨機變量(Vout)。從多元概率論中,我們知道這個和的標準差等于?Hi 項的正交和。換句話說,Vout 的標準偏差為:

方程式(7):輸出電壓基于傳遞函數方差的標準差。
在這個方程式中,st.dev運算指標準差,Var運算指方差。使用方程式(7),我們可以開發一個仿真過程,將輸出電壓的變化與級聯網絡中傳遞函數的變化聯系起來。
04過程
現在我們可以開發一個根據傳遞函數方差來確定輸出電壓方差的過程。您的主要工具將是蒙特卡羅仿真和簡單的統計分析程序,如Excel:
1. 將級聯網絡電路設計劃分為單獨的二端口網絡。
2. 針對#1中的每個網絡運行蒙特卡羅仿真。
3. 獲取每個網絡的數據并計算每次蒙特卡羅運行的傳遞函數。
4. 計算每個網絡的傳遞函數結果的平均值。
5. 計算#3中每個傳遞函數的標準差,得出每個網絡的?Hi。
6. 使用來自#4、#5和方程式(7)的結果,得出輸出電壓的變化。
根據您在此過程中使用的數據數量,您可以更進一步,得出結果的置信區間。示例計算:
為什么要在單個傳遞函數上進行如此麻煩的運算?讓我們來舉個例子,了解其中原因。
假設您有三個具有不同元件容差(1%、5%和10%)的電路網絡,并且您已經完成了上述過程以確定每個網絡的傳遞函數的變化。假設這些元件公差值轉化為下圖中顯示的示例方差。使用方程式(7),我們可以預測這個假設網絡的輸出電壓變化:

已知元件容差和傳遞函數變化的輸出電壓計算標準差示例。
根據應用,13.63%的容差可能過大。由此,我們可以判斷是否應該降低某些元件組的容差。
現在假設輸出電壓變化對于我們的應用來說是不可接受的,我們希望得到更小的變化。我們決定將 5% 的容差和 10% 的容差換成 1% 的容差。無需運行任何新的仿真,我們就可以立即知道輸出變化是什么。對于線性電路,將容差降低 10 倍應將傳遞函數方差降低 10 倍,對于其他降低因子,依此類推。然后我們會得到以下結果:

針對較小的元件容差,修改輸出電壓計算的標準差。
將輸出電壓從13.63%降低到2.23%,這一折減幅度非常大,而它所需要的只是一個簡單的元件交換。無需添加新電路,無需更改設計,只需選擇一些備用元件編號即可。這些類型的方差折減步驟正是您在精確仿真應用中所需要的。
現在假設您想改變運行頻率。在這種情況下,您可以使用從蒙特卡羅仿真中獲得的傳遞函數數據,使用相同的計算來確定在這個新頻率下輸出電壓將如何變化。
05總結與比較
通過了解如何增加不同級聯網絡中的方差,得出輸出電壓的總方差,您可以執行以下任意操作,直接確定輸出電壓將如何變化:
- 將網絡中的元件換成容差更嚴格的元件
- 把一個網絡換成一個完全不同的網絡
- 在級聯中添加額外的網絡
上面顯示的擾動方法僅適用于串聯級聯濾波器或放大器。如果您有并行網絡,它們的傳遞函數相加,使上面顯示的方差分析更容易。此外,您可以使用這個想法來推導出串聯和并聯網絡組合的方差表達式。無論您如何安排電路網絡以獲得方差表達式,都適用上述相同的仿真和分析方法。
如果您有興趣在Altium Designer ?內運行蒙特卡羅仿真和轉移函數計算,可以在原理圖編輯器中找到SPICE引擎中內置的仿真工具。完成 PCB 并準備好與合作者或制造商分享您的設計后,您可以通過 Altium 365? 平臺分享您完成的設計。設計和生產先進電子產品所需的一切都集成在一個軟件包中。
Altium 365僅僅是Altium Designer功能的冰山一角。立即開始免費試用Altium Designer + Altium 365吧。
(文章來源公眾號:Altium)
+++++++++++++++++++++++++++++++++++++++++++++++++++++++++++++++++++++++++++++++++++++++++++
關于億道電子
億道電子技術有限公司(英文名稱:Emdoor Electronics Technology Co.,Ltd)是國內資深的研發工具軟件提供商,公司成立于 2002 年,面向中國廣大的制造業客戶提供研發、設計、管理過程中使用的各種軟件開發工具,致力于幫助客戶提高研發管理效率、縮短產品設計周期,提升產品可靠性。
20 年來,先后與 Altium、ARM、Ansys、QT、Adobe、Visu-IT、Minitab、Testplant、EPLAN、HighTec、GreenHills、PLS、Ashling、MSC Software 、Autodesk、Source Insight、TeamEDA、MicroFocus等多家全球知名公司建立戰略合作伙伴關系,并作為他們在中國區的主要分銷合作伙伴服務了數千家中國本土客戶,為客戶提供從芯片級開發工具、EDA 設計工具、軟件編譯以及測試工具、結構設計工具、仿真工具、電氣設計工具、以及嵌入式 GUI 工具等等。億道電子憑借多年的經驗積累,真正的幫助客戶實現了讓研發更簡單、更可靠、更高效的目標。

歡迎關注“億道電子”公眾號
了解更多研發工具軟件知識

首頁 > 新聞資訊
